Langkah-langkah perencanaan plat:
I.
Perhitungan
Tebal Plat
Langkah-langkah perhitungan tebal plat:
Syarat hmin < hf ≤ hmax
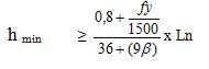
1. Menghitung Tebal minimum plat (hmin)
·
ln = lebat
plat – bw (lebar balok)
Syarat –
syarat Bentang : ly = Bentang terpanjang.
lx =
Bentang terpendek.
·
β = ly - bw
lx - bw
lx - bw
2. 
3. Menghitung
Tebal maksimun (hmax)
4. Tebal plat (hf)
·
Menentukan Lebar manfaat (be)
be
= ¼ L
be
= bw + 16 x h (untuk balok dengan flens dua sisi)
be
= bw + 6h (untuk alok dengan flens satu sisi)
·
Menentukan titik pusat berat
·
Menghitung Momen Inersia
I b1 =
{1/12(be x hf3)
+ A1 (Y–Y1)2}
I b2 = {1/12(be x hf3)
+ A2 (Y2–Y)2}
I s1 = 1/12 ly (h-hf)3
·
Menghitung αm (nilai rata-rata rasio
kekakuan balok terhadap plat)
·
Kontrol tebal plat
Syarat hmin < hf ≤ hmax
Syarat SNI Tebal Plat Lantai Minimum 120 mm
Contoh
didapat hasil
hmin = 98 mm
hf =
103 mm
hmax = 122 mm
maka dari hasil diatas diambil tebal plat lantai
adalah 120 mm
Comments
Post a Comment